滾球法確定接閃器(避雷針)的保護范圍
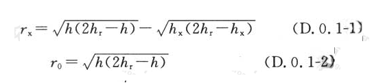
D.0.1 單支接閃桿的保護范圍應按下列方法確定(圖D.0.1):

圖D.0.1 單支接閃桿的保護范圍
1—平面上保護范圍的截面
1 當接閃桿高度h小于或等于hr時:
1)距地面hr處作一平行于地面的平行線。
2)以桿尖為圓心,hr為半徑作弧線交于平行線的A、B兩點。
3)以A、B為圓心,hr為半徑作弧線,弧線與桿尖相交并與地面相切。弧線到地面為其保護范圍。保護范圍為一個對稱的錐體。
4)接閃桿在hx高度的平面上和地面上的保護半徑,應按下列公式計算:

中:rx——接閃桿在hx高度的平面上的保護半徑(m);
hr——滾球半徑,按本規范表6.2.1和第4.5.5條的規定取值(m);
hx——被保護物的高度(m);
r0——接閃桿在地面上的保護半徑(m)。
2 當接閃桿高度h大于hr時,在接閃桿上取高度等于hr的一點代替單支接閃桿桿尖作為圓心。其余的做法應符合本條第1款的規定。式(D.0.1-1)和式(D.0.1-2)中的h用hr代入。
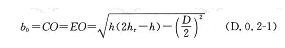
D.0.2 兩支等高接閃桿的保護范圍,在接閃桿高度h小于或等于 hr的情況下,當兩支接閃桿距離D大于或等于
時,應各按單支接閃桿所規定的方法確定;當D小于
時,應按下列方法確定(圖D.0.2):
1 AEBC外側的保護范圍,應按單支接閃桿的方法確定。
2 C、E點應位于兩桿間的垂直平分線上。在地面每側的最小保護寬度應按下式計算:

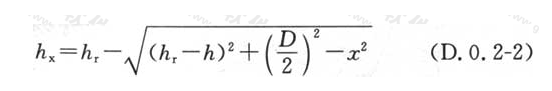
3 在AOB軸線上,距中心線任一距離x處,其在保護范圍上邊線上的保護高度應按下式計算:

該保護范圍上邊線是以中心線距地面hr的一點為圓心,以
為半徑所做的圓弧AB。
4 兩桿間AEBC內的保護范圍,ACO部分的保護范圍應按下列方法確定:
1)在任一保護高度hx和C點所處的垂直平面上,應以hx作為假想接閃桿,并應按單支接閃桿的方法逐點確定(圖D.0.2中1-1剖面圖)。
2)確定BCO、AEO、BEO部分的保護范圍的方法與ACO部分的相同。

圖D.0.2 兩支等高接閃桿的保護范圍
L—地面上保護范圍的截面;M—平面上保護范圍的截面;N—AOB軸線的保護范圍
5 確定平面上的保護范圍截面的方法。以單支接閃桿的保護半徑rx為半徑,以A、B為圓心作弧線與四邊形AEBC相交;以單支接閃桿的(r0—rx)為半徑,以E、C為圓心作弧線與上述弧線相交(圖D.0.2中的粗虛線)。
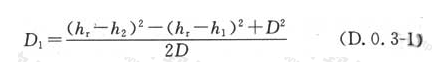
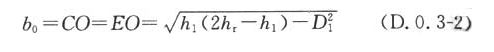
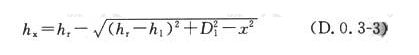
D.0.3 兩支不等高接閃桿的保護范圍,在A接閃桿的高度h1和B接閃桿的高度h2均小于或等于hr的情況下,當兩支接閃桿距離D大于或等于
時,應各按單支接閃桿所規定的方法確定;當D小于
時,應按下列方法確定(圖D.0.3):

圖D.0.3 兩支不等高接閃桿的保護范圍
L—地面上保護范圍的截面;M—平面上保護范圍的截面;N—AOB軸線的保護范圍
1 AEBC外側的保護范圍應按單支接閃桿的方法確定。
2 CE線或HO線的位置應按下式計算:

3 在地面每側的最小保護寬度應按下式計算:

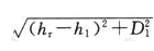
4 在AOB軸線上,A、B間保護范圍上邊線位置應按下式計算:

式中:x——距CE線或
HO線的距離。該保護范圍上邊線是以HO
線上距地面hr的一點
O為圓心,以

為半徑所作的圓弧AB。
5 兩桿間AEBC內的保護范圍,ACO與AEO是對稱的,BCO與BEO是對稱的,ACO部分的保護范圍應按下列方法確定:
1)在任一保護高度hx和C點所處的垂直平面上,以hx作為假想接閃桿,按單支接閃桿的方法逐點確定(圖D.0.3的1-1剖面圖)。
2)確定AEO、BCO、BEO部分的保護范圍的方法與ACO部分相同。
6 確定平面上的保護范圍截面的方法應與兩支等高接閃桿相同。
D.0.4 矩形布置的四支等高接閃桿的保護范圍,在h小于或等于hr的情況下,當D3大于或等于
時,應各按兩支等高接閃桿所規定的方法確定;當D3小于
時,應按下列方法確定(圖D.0.4):
1 四支接閃桿外側的保護范圍應各按兩支接閃桿的方法確定。
2 B、E接閃桿連線上的保護范圍見圖D.0.4中1-1剖面圖,外側部分應按單支接閃桿的方法確定。兩桿間的保護范圍應按下列方法確定:
1)以B、E兩桿桿尖為圓心、hr為半徑作弧線相交于O點,以O點為圓心、hr為半徑作弧線,該弧線與桿尖相連的這段弧線即為桿間保護范圍。
2)保護范圍最低點的高度h0應按下式計算:

圖D.0.4 四支等高接閃桿的保護范圍
M—地面上保護范圍的截面;N—平面上保護范圍的截面
3 圖D.0.4中2-2剖面的保護范圍,以P點的垂直線上的O點(距地面的高度為hr+h0)為圓心、hr為半徑作弧線,與B、C和A、E兩支接閃桿所作的在該剖面的外側保護范圍延長弧線相交于F、H點。
F點(H點與此類同)的位置及高度可按下列公式計算:

4 確定圖D.0.4中3-3剖面保護范圍的方法應符合本條第3款的規定。
5 確定四支等高接閃桿中間在h0至h之間于hy高度的平面上保護范圍截面的方法為以P點(距地面的高度為hr+h0)為圓心、
為半徑作圓或弧線,與各兩支接閃桿在外側所作的保護范圍載面組成該保護范圍截面(圖D.0.4中虛線)。
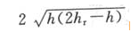
D.0.5 單根接閃線的保護范圍,當接閃線的高度h大于或等于2hr時,應無保護范圍;當接閃線的高度h小于2hr時,應按下列方法確定(圖D.0.5)。確定架空接閃線的高度時應計及弧垂的影響。在無法確定弧垂的情況下,當等高支柱間的距離小于120m時架空接閃線中點的弧垂宜采用2m,距離為120m~150m時宜采用3m。

圖D.0.5 單根架空接閃線的保護范圍
N—接閃線
1 距地面hr處作一平行于地面的平行線。
2 以接閃線為圓心、hr為半徑,作弧線交于平行線的A、B兩點。
3 以A、B為圓心,hr為半徑作弧線,該兩弧線相交或相切,并與地面相切。弧線至地面為保護范圍。
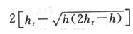
4 當h小于2hr且大于hr時,保護范圍最高點的高度應按下式計算:
h0=2hr-h (D.0.5-1)
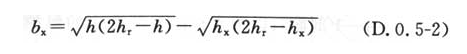
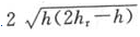
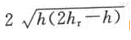
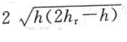
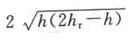
5 接閃線在hx高度的平面上的保護寬度,應按下式計算:

式中:bx——接閃線在hx高度的平面上的保護寬度(m);
h——接閃線的高度(m);
hr——滾球半徑,按本規范表6.2.1和第4.5.5條的規定取值(m);
hx——被保護物的高度(m)。
6 接閃線兩端的保護寬度應按單支接閃桿的方法確定。
D.0.6 兩根等高接閃線的保護范圍應按下列方法確定:
1 在接閃線高度h小于或等于hr的情況下,當D大于或等于
時,應各按單根接閃線所規定的方法確定;當D小于
時,應按下列方法確定(圖D.0.6-1):

圖D.0.6-1 兩根等高接閃線在高度h小于或等于hr時的保護范圍
1)兩根接閃線的外側,各按單根接閃線的方法確定。
2)兩根接閃線之間的保護范圍按以下方法確定:以A、B兩接閃線為圓心,hr為半徑作圓弧交于O點,以O點為圓心、hr為半徑作弧線交于A、B點。
3)兩根接閃線之間保護范圍最低點的高度按下式計算:

4)接閃線兩端的保護范圍按兩支接閃桿的方法確定,但在中線上h0線的內移位置按以下方法確定(圖D.0.6-1中1-1剖面):以兩支接閃桿所確定的保護范圍中最低點的高度
作為假想接閃桿,將其保護范圍的延長弧線與h0線交于E點。內移位置的距離也可按下式計算:

式中:b0 ——按式(D.0.2-1)計算。
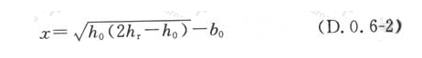
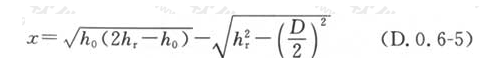
2 在接閃線高度h小于2hr且大于hr,接閃線之間的距離D小于2hr,且大于
的情況下,應按下列方法確定(圖D.0.6-2):
1)距地面hr處作一與地面平行的線。
2)以A、B兩接閃線為圓心,hr為半徑作弧線交于O點并與平行線相交或相切于C、E點。
3)以O點為圓心、hr為半徑作弧線交于A、B點。
4)以C、E為圓心,hr為半徑作弧線交于A、B并與地面相切。
5)兩根接閃線之間保護范圍最低點的高度按下式計算:

6)最小保護寬度bm位于hr高處,其值按下式計算:

圖D.0.6-2 兩根等高接閃線在高度h小于2hr且大于hr時的保護范圍
7)接閃線兩端的保護范圍按兩支高度hr的接閃桿確定,但在中線上h0線的內移位置按以下方法確定(圖D.0.6-2的1-1剖面):以兩支高度hr的接閃桿所確定的保護范圍中點最低點的高度
作為假想接閃桿,將其保護范圍的延長弧線與h0線交于F點。內移位置的距離也可按下式計算:

D.0.7 本規范圖D.0.1~圖D.0.5、圖D.0.6-1和圖D.0.6-2中所畫的地面也可是位于建筑物上的接地金屬物、其他接閃器。當接閃器在地面上保護范圍的截面的外周線觸及接地金屬物、其他接閃器時,各圖的保護范圍均適用于這些接閃器;當接地金屬物、其他接閃器是處在外周線之內且位于被保護部位的邊沿時,應按下列方法確定所需斷面的保護范圍(圖D.0.7):
<img sr
相關資訊
- 防雷器|深圳防雷廠家|防雷產品生產廠家
- 【POE以太網防雷器保護】_信號防雷器電路圖防護_網
- 【4-20ma防雷器】_防雷器_4-20ma二線制模擬信號防雷
- 【等電位防雷器】_防雷器_等電位防雷器使用說明書
- 建筑物防雷分類_一類二類三類防雷建筑物劃分
- PDU防雷插座_六位PDU防雷插座講解
- 等電位接地防雷浪涌保護器施工注意事項
- 安全防范系統的防雷浪涌保護器與接地應符合下列規定
- 信號線路的防雷浪涌保護器與接地應符合下列規定:
- 天饋線路的防雷與接地應符合下列規定
產品推薦
文章排行
- 監控二合一防雷器的安裝步驟
- 浪涌保護器接線圖|浪涌保護器安裝要求|浪涌保護器接
- 家用【浪涌保護器】接線圖_220V【浪涌保護器】安裝
- 電源浪涌保護器(SPD)安裝的誤區
- 建筑物防雷分類_一類二類三類防雷建筑物劃分
- 裝有避雷帶的屋頂上,安裝風機等電氣設備后,如何進行
- 開關型電涌保護器(SPD)和限壓型SPD的區別?
- 許多用戶認為,多少年來電器設備沒有遭受過雷擊,現在電
- 電源是否要設計A、B、C、D四級保護?
- 合肥第903研究所實驗表明:手機可能引雷



